有机硅在涂料工业中的应用
分类:技术文档 来源: 发布时间:2022-09-05
涂料中所使用的助剂大多是表面活性剂,通过降低气液、液固或者气固界面的表面张力,达到流平、消泡、分散及提高附着力的效果。有机硅类化合物具有较低的表面张力,有较高的表面活性,在涂料体系有广泛的应用,是涂料助剂的重要品种。

用于涂料体系的有机硅助剂从化学成分来分,主要包括硅烷和硅油两大类,如图1 所示。硅烷主要是一些小分子化合物,在涂料中主要用作附着力促进剂、交联剂和分散剂等;硅油类助剂主要成分是改性硅油,通过调整助剂的相对分子质量、改性基团R 的种类和含量以及端基的官能团的种类,可以得到各种不同性能的助剂。

1 用作涂料流平剂的有机硅助剂
涂料用流平剂的结构一般由与体系相容链段和与体系不相容并且表面张力低于体系的链段两部分组成。成膜过程中,由于低表面张力不相容链段的分离迁移作用,助剂会自发迁移到涂料体系的表面,形成单分子膜,从而为体系提供均匀的表面张力,消除因表面张力梯度所引起的各种漆膜表面弊病。
有机硅流平剂是涂料流平剂中的一个重要大类,一般来说,低相对分子质量( <5 000) 的聚二甲基硅氧烷就可以作流平剂使用,但是因其相容性不佳,使用受到较多限制,流平效果也不够出色,无法应用于高档体系。目前在涂料中广泛使用的有机硅流平剂是各种改性硅油,根据改性种类的不同,主要有聚醚改性硅油、聚酯改性硅油、苯基改性硅油、烷基改性硅油、苯基烷基共改性硅油以及烷基-聚醚共改性硅油等,其中聚醚改性硅油由于其结构可以在很大范围内调整,性能可以覆盖多种不同要求,可适用于各种体系,是目前有机硅流平剂的主要品种。
聚醚改性有机硅的基本结构见式( 1) 。

其中m、n 的数值决定了结构当中硅氧烷链段的含量,m/n 值越小,相应的硅含量越高; 而x、y 值决定了聚醚链段的相对分子质量和亲水性( x 表示环氧丙烷单元的数量,是疏水单元,y 表示环氧乙烷单元的数量,是亲水单元,当x>y 时,聚醚链段以疏水为主,x<y 时,聚醚链段以亲水为主) ,m、n、x、y 的数值决定了相应的聚醚改性硅油的性能,也决定了它们的用途。
如需要流平剂有较好的手感和防缩孔能力时,通常需要较高的硅含量和较长的硅氧烷链段长度,可以通过提高m、n 值来达到要求; 当需要流平剂具有良好的消泡能力时,需要较高的硅含量和环氧丙烷含量,可以通过提高m、n、x 的值,降低y 值达到要求;当需要提高助剂的使用安全性,降低产生漆膜弊病的风险时,需要相对比较低的硅含量,可以通过提高m,降低n 的数值来达到要求; 当需要用于水性体系时,由于需要有一定的水溶性,故需要不太高的硅含量和较高的亲水链段环氧乙烷的含量,可以通过提高m和y 的数值达到要求。
当流平剂需要用在高温体系( 如烤漆) 时,由于聚醚的分解温度较低,容易在使用过程中分解,造成一些漆膜表面的弊病,如重涂不良、缩孔等,这时需选择含有耐高温基团( 如烷基改性硅油、苯基改性硅油和聚酯改性硅油等) 改性的硅油,相对来说,烷基改性硅油除了可以提供流平效果以外,还具有良好的消泡效果,但是其相容性不佳,通常不适合用于清漆。而苯基硅油和聚酯改性硅油的相容性都比较好,适合用在高温清漆体系,同时提供优异的相容性和耐高温性能。
随着技术的发展,近来出现了一些有机硅与丙烯酸酯结合的流平剂,这类流平剂同时结合了两者的优点,兼具优异的前期流平和后期流平效果。根据其化学结构的不同,可分为丙烯酸酯改性有机硅流平剂( 有机硅为主链,丙烯酸酯为侧链) 和有机硅改性丙烯酸酯2 种类型,而有机硅改性丙烯酸酯流平剂除了可以提供流平效果,还可以附带提供耐污效果。
2 用作涂料消泡剂的有机硅助剂
作为涂料用消泡剂通常需要具有比应用体系低的表面张力,同时与应用体系不相容。有机硅由于其低极性结构,与大多数涂料树脂体系均不相容,故被广泛用作涂料消泡剂的原料。
通常,相对分子质量较大( 10 000 ~ 100 000) 的聚二甲基硅氧烷即可作为涂料消泡剂使用,目前,这类消泡剂广泛应用于重防腐等体系中。为了提高消泡效率,还可以加入一些白炭黑作为增效组分。另外,由于有机硅的消泡效率较高,在极低的添加量下就有很好的效果,为了便于添加,通常将有机硅消泡剂制成较低浓度的溶液,以适应实际生产的需要。
在溶剂型涂料体系中,为了增强涂料的消泡能力,会用氟碳改性有机硅,通过在有机硅主链中引入相容性和表面张力更低的氟碳链段,进一步降低涂料与体系的相容性,极大地提高消泡效果,通常引入的氟碳链越长,消泡效果越好,这类消泡剂通常是有机硅消泡剂中的高端品种。
在水性涂料体系中,由于水性树脂的极性较高,常规的聚二甲基硅氧烷与体系的相容性有限,难以直接用作消泡剂。通常需要用聚醚对聚二甲基硅氧烷进行改性,特别是在高光体系中的应用更是如此。通常,聚醚改性的程度越高,相容性越好,但消泡效果也会随之下降,一般需要根据体系消泡的难易程度,选择合适的改性比例,在满足消泡能力的条件下,硅含量越低越好。
水性有机硅消泡剂根据其自身状态的不同,分为浓缩型和乳液型2 大类,浓缩型消泡剂抑泡能力强,但不易分散,在使用时需要强剪切; 乳液型消泡剂由浓缩型消泡剂乳化得到,通过乳化,极大地提高了使用的便利性,只需要简单的搅拌即可引入到体系中。
3 有机硅基材润湿剂
水性体系中由于水的表面张力太大,对底材( 特别是低表面张力底材) 的快速润湿较困难,故在水性涂料体系中,基材润湿剂的使用尤为重要。有机硅基材润湿剂由于其广泛的适用性,在水性涂料体系中得到了广泛使用。
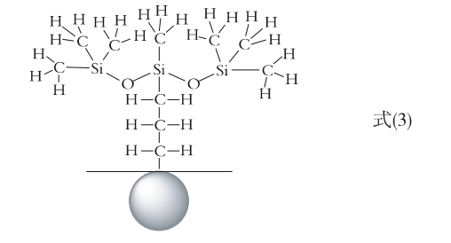
式( 2) 是典型的水性体系基材润湿剂的结构。

从式( 2) 可以看出,基材润湿剂其实是一类特殊的聚醚改性硅油,其相对分子质量通常很小。由于底材的快速润湿是一个动态的过程,并且按照物理化学的原理,润湿剂的作用原理是通过快速迁移到体系的表面,降低体系的表面张力,从而达到底材润湿的效果。而根据分子运动论的观点,分子的迁移速度在很大程度上取决于相对分子质量,相对分子质量越小,迁移速度相对越快。故相对分子质量较小的聚醚改性硅油经常作为基材润湿剂用于水性体系。
进一步研究发现,用作基材润湿剂的聚醚改性硅油用于水性体系中,由于其特殊的结构[见式( 3) ],其中的有机硅链段可以充分伸展,将大量的—CH3对外伸展,从而极大地降低体系的表面张力。通常中高相对分子质量的聚醚改性硅油在水性体系只能将表面张力降低到25 ~ 26 N/m,而小分子的基材润湿剂通常可以将表面张力降低到22 N/m 以下,最低的可以到20~ 21 N/m。如此低的表面张力,使得加了基材润湿剂的水性涂料可以润湿绝大多数低表面张力的底材,甚至可润湿聚四氟乙烯底材。同时由于基材润湿剂能将水性体系的表面张力降到很低的程度,故基材润湿剂可以赋予体系良好的防缩孔性能和喷涂施工时的雾化效果。

由于基材润湿剂的相对分子质量较小,其有机硅链段非常短,故无法赋予漆膜表面良好的滑度( 通常滑度来自于较长的有机硅链段) 。当对漆膜的滑度有要求时,基材润湿剂通常与高相对分子质量的有机硅流平剂搭配使用,这也是基材润湿剂与普通的有机硅流平剂的不同之处。
4 用作耐磨助剂的有机硅助剂
对耐磨性能有要求的体系,除了从树脂角度提高交联密度外,添加助剂也是一种常见的手段,采用有机硅助剂是常用的一种方法。常见的有超高相对分子质量有机硅微球、超高相对分子质量有机硅乳液以及有机硅纳米改性剂等。
超高相对分子质量耐磨有机硅微球内部有轻微交联结构的高相对分子质量聚硅氧烷的分散体,微观上呈微球状,加入体系中后,最终会在漆膜表面定向排列,形成一层聚硅氧烷薄膜,从而为体系提供优异的滑度和表面耐磨效果。
在水性涂料体系中,除了有机硅微球以外,超高相对分子质量有机硅乳液也是常用的一类耐磨助剂,它们通常由有机硅乳液聚合而得,内相黏度极高,相对分子质量可达到上百万,加入体系中在成膜以后,可以在表面形成一层超高相对分子质量的有机硅薄层,从而提高了漆膜的耐磨效果。
最近,有人开发了一类特殊结构的有机硅耐磨助剂,其化学成分为笼形聚倍半硅氧烷,结构如式( 4) 所示,这是一个低聚的笼形有机硅化合物,其中,R 基团可以是各种反应型基团,如羟基、环氧基、丙烯酸双键等,将其加入体系当中,其反应型基团可以参与树脂固化反应,从而在体系中引入了类似无机硅氧烷的结构,可以同时提高体系的柔韧性与耐磨效果。

5 用作涂料树脂改性的有机硅助剂
有机硅材料通常具有一些特殊的性能,如表面滑爽、耐磨、耐候、低温柔韧等性能,通过一些带有反应型官能团的有机硅材料作为改性助剂,可以在树脂体系中引入有机硅链段,从而将有机硅材料的优异性能引入到涂料体系中,如图2 所示。

树脂改性用有机硅材料分别带有各种不同的官能团,通常都是两端带有反应型基团的有机硅聚合物。带碳羟基的有机硅材料通常与聚氨酯材料有较好的反应能力,可以用于聚酯或者聚氨酯树脂的改性; 带有环氧基团的有机硅材料可以用于环氧树脂的改性; 两端带有丙烯酸酯双键的有机硅材料可以用于光固化树脂的改性,带有丙烯酸酯双键的有机硅材料还可以用于有机硅改性乳液的合成反应; 带有氨基的有机硅材料可以用作有机硅改性聚酰亚胺树脂的合成,用于一些高端用途; 带有羧基的有机硅材料可以用作粉末涂料树脂的改性并参与反应。
6 用作耐污助剂的有机硅助剂
在某些特殊领域( 如3C) 应用的涂料体系,通常有表面耐污的要求。耐污助剂大多是各种特殊结构的有机硅助剂,如式( 5) 所示,它们通常含有一些能够与体系反应的有机硅基团R,同时具备一些可在表面伸展的有机硅链段,正是这些伸展的有机硅链段提供了优异的耐污效果。

当R 为羟基时,可以用于聚氨酯体系和氨基烤漆体系,羟基含量低的时候适用于溶剂型体系,羟基含量高的时候,适用于水性体系; 当R 为丙烯酸酯双键时,可以用于光固化体系; 当R 基团为环氧的时候,可以用于环氧体系。
7 用作颜填料分散剂的有机硅助剂
为了使颜填料能够均匀地分散并防止沉降,分散剂是不可缺少的。从结构来看,分散剂含有亲颜料基团和溶剂化链段。有机硅化合物经过合理的结构设计,可以得到能用作涂料体系分散剂的化合物。常见的硅烷偶联剂就可以作为填料的分散剂使用,有时为了应对更高的要求,还可以设计一些特殊的结构,来达到更好的效果。
式( 6) 是用作水性涂料分散剂的有机硅化合物的示意图。

由于通常颜填料表面( 特别是无机颜填料) 吸附了空气中的水分或自身结构的原因,都含有一定的羟基,当有机硅化合物加入水性涂料体系后,其中的有机硅烷会水解产生相应的硅羟基,产生的硅羟基能与颜料表面的羟基进一步缩合,从而牢固地连接到颜料表面,在颜填料表面产生分子吸附层,再加上其所含有的亲水的溶剂化链段所提供的熵稳定作用,可以为颜填料在水性体系的分散提供稳定化作用,故特别适用于一些较难分散的无机颜填料特别是纳米级的无机颜填料( 如纳米氧化铁、纳米氧化锌、纳米氧化硅)的分散。作用机理如图3 所示。

8 用作附着力促进剂的有机硅助剂
硅烷类附着力促进剂已广泛应用于底材为玻璃、陶瓷、金属锌、金属铁以及一些塑料体系的溶剂型涂料体系中。其作用原理如图4 所示。

如图4 所示,硅烷中的烷氧基与体系中的少量水反应,生成硅羟基,硅羟基与底材表面的羟基反应,形成牢固的吸附层,而硅烷中所含有的R 基团中含有反应型基团( 针对不同的树脂体系有氨基、环氧基、甲基丙烯酰基等) 则可以在交联过程中与树脂体系产生化学键交联,在树脂与底材之间提供很强的架桥作用,从而大大提高附着力。
与溶剂型涂料体系相同,在水性涂料体系中,当应用于玻璃、陶瓷以及部分金属和塑料底材时,硅烷仍旧可以用作附着力促进剂,但是与溶剂型体系不同的是,由于水性体系以水为分散介质,通常适用于溶剂型体系的硅烷类附着力促进剂加到水性体系中,会因为水解速度太快,而很快失效,故在使用的时候只能在施工现场添加。
根据水性涂料体系的特点,开发出了适用于水性涂料体系的硅烷。通过调整硅烷结构中的R 基团的大小,通过R 基团的位阻效应,影响硅烷的水解速度,从而使硅烷的水解周期能够与水性涂料的使用周期同步,提高水性涂料的贮存稳定性。
9 用作水性涂料外交联剂的有机硅助剂
水性涂料特别是单组分水性聚氨酯体系,通常因为没有交联,故在性能方面不如交联型双组分聚氨酯体系。为了提高单组分水性聚氨酯的使用性能,经常在水性聚氨酯涂料配方中加入后交联剂,如氮丙啶等,利用氮丙啶与水性聚氨酯中的羧基进行反应,提供一定的交联度,从而大大提高涂料的最终性能,如耐水性和耐溶剂性等。
然而由于氮丙啶具有相当的毒性,在使用中受到限制,其次,氮丙啶的交联速度太快,只能做成双组分体系使用,第三,氮丙啶交联剂无法提高水性聚氨酯对底材的附着力。
为此开发出了各种不同结构的新型外交联剂,其中有机硅外交联剂就是其中的一种,它的作用原理如图5 所示。

常用的有机硅交联剂一般含有环氧基团,在漆膜干燥过程中,外交联剂中的环氧基团可以与水性聚氨酯中的羧基进行开环反应,产生化学键连接,另外通过其自身的交联反应,从而得到一个三维的交联结构,形成有机-无机杂化的体系,从而提高漆膜的耐水性和耐化学性等性能。
10 结语
有机硅分子的硅含量与相对分子质量的变化能改变助剂与涂料体系的相容性范围,从而影响助剂在体系的分散状态。根据不同涂料体系对应的流平、手感、重涂、润湿等性能需求,合理筛选有机硅助剂类型才能获得理想涂膜效果。引入更多特殊的官能团如有机氟结构,设计独特的分子结构如星型,都将增添更多应用领域的功能助剂产品。
-
2025-05-28
浅述无机颜料在油墨中的重要性
在油墨生产与应用领域,无机颜料作为核心组成部分,其性能优劣直接决定了油墨的质量与适用性。不同的印刷工艺和使用场景,对油墨用无机颜料提出了多样化的要求,这些特性涵盖色彩表现、物理性能、化学稳定性等多个关键方面。一、卓越的色彩性能色彩鲜艳度和着色力是衡量无机颜料品质的重要指标。高着色力的无机颜料,能够以较少的用量赋予油墨浓...
查看详情
-
2025-05-28
无机颜料在使用中为什么会变色
无机颜料凭借优异的耐光、耐热和化学稳定性,在涂料、塑料、油墨等领域被广泛应用。但不少人在使用过程中发现,无机颜料有时会出现变色现象,这不仅影响产品的外观质量,还可能对其性能产生一定影响。那么,究竟是什么原因导致无机颜料在使用中变色呢?一、颜料自身化学性质引发的变色化学成分间的反应无机颜料的颜色由其化学成分决定,然而部分...
查看详情
-
2025-04-11
无机颜料为什么不溶于水
无机颜料难以溶于水,主要与其化学组成、分子结构及物理性质密切相关,具体原因可从以下几个方面分析: 一、化学键与晶体结构的稳定性 强化学键作用 无机颜料如钴蓝、铜铬黑多为金属氧化物或金属氧化物混相颜料、金属硫化物、金属盐等,其内部原子通过离子键或共价键紧密结合,键能极高...
查看详情


回到顶部